Tέλη κυκλοφορίας 2019: Καθώς μπήκε ο Νοέμβριος, πλησιάζει όλο και περισσότερο η ημερομηνία που θα πρέπει να πληρωθούν τα τέλη κυκλοφορίας 2019.
Tέλη κυκλοφορίας 2019
Τα ειδοποιητήρια για τα τέλη θα αναρτηθούν στο Taxisnet το αργότερο έως τα μέσα Νοεμβρίου και η εξόφληση των τελών θα γίνει έως το τέλος του έτους αποκλειστικά μέσω του τραπεζικού συστήματος. Tέλη κυκλοφορίας 2019
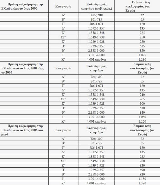
Το συνολικό ποσό που θα κληθούν και φέτος να πληρώσουν οι κάτοχοι ΙΧ ανέρχεται σε περίπου 1,2 δισ. ευρώ.
Και φέτος πάντως παρά τις εξαγγελίες για τη δημιουργία ενός νέου συστήματος υπολογισμού των τελών κυκλοφορίας των οχημάτων δεν αναμένεται να υπάρξει καμία ελάφρυνση.
Μέσα στον Νοέμβριο που θα αναρτηθούν τα τέλη κυκλοφορίας οι ιδιοκτήτες οχημάτων για να εκτυπώσουν το ειδοποιητήριο στο οποίο αναγράφεται ο κωδικός για την πληρωμή των τελών θα πρέπει να εισέλθουν στην ειδική ηλεκτρονική εφαρμογή του Taxisnet «Εκτύπωση Τελών Κυκλοφορίας Οχημάτων» στην ιστοσελίδα www.aade.gr και να ακολουθήσουν τα εξής βήματα:
- Στην Υπηρεσία προς τους Πολίτες επιλέξτε την ένδειξη Οχήματα
- Συμπληρώστε τον Α.Φ.Μ., που αναγράφεται στην άδεια κυκλοφορίας
- Συμπληρώστε τον αριθμός κυκλοφορίας του οχήματος, που αναγράφεται στην άδεια κυκλοφορίας
- Συμπληρώστε το έτος τελών κυκλοφορίας
- Επιλέγετε «Αναζήτηση»
- Επιλέγετε «Εκτύπωση» όταν εμφανιστεί το μήνυμα «Επιτυχής αναζήτηση»
Οι ιδιοκτήτες οχημάτων πληρώνουν το τέλος με βάση την Ταυτότητα Οφειλής που υπάρχει στο ειδοποιητήριο. Όσοι εξοφλήσουν μέσω web banking χρειάζονται μόνον αυτή την Ταυτότητα Οφειλής που αναγράφεται στο ειδοποιητήριο. Tέλη κυκλοφορίας 2019
Σε ορισμένες τράπεζες, ακόμη και εάν ο οφειλέτης δεν έχει τον κωδικό πληρωμής, μπορεί να πληρώσει το ποσό βάζοντας στην σχετική καρτέλα τον αριθμό κυκλοφορίας και το ΑΦΜ.


